AKP健食天

Hans:最佳新陈代谢:看看里面的熔炉

最佳新陈代谢:看看里面的熔炉

为什么有些人可以吃高碳水化合物饮食并蓬勃发展?

为什么一些益智药对某些人有效,但对其他人无效?

为什么一个人从一种补充剂中获得了很好的效果,而另一个人得到了相反的反应?

让我们以多巴胺能药物为例。一个人可能感觉很棒,而另一个人则感到焦虑和紧张。

其中大部分归结为细胞状态,特别是氧化还原状态。

细胞氧化还原状态

cellular-redox-state-1.jpg

人体由氨基酸组成,它们调节体内大多数酶的功能和过程。一个重要的例子是氨基酸半胱氨酸。半胱氨酸与许多酶、受体等中的许多其他氨基酸相连。当自由基氧化半胱氨酸时,它会改变该酶或受体或其他任何可能的功能。半胱氨酸是还原形式 ad 当它被氧化时,它会变成胱氨酸。半胱氨酸与胱氨酸的比率表明氧化还原平衡。

一个细胞中有许多氧化还原对,它们协同工作以维持氧化还原环境。例如,有半胱氨酸:胱氨酸、还原/氧化型谷胱甘肽 (GSH/GSSG) 和 NAD:NADH 氧化还原对。

每对都处于还原状态或氧化状态。

一些情侣包括:

  • NAD:NADH 比率
  • NADPH:NADP+ 比率(维持在 -400 mV 左右)
  • GSH:GSSG 比率(还原/氧化型谷胱甘肽 (GSH/GSSG),通常被报告为细胞电位,在线粒体中维持在 -280 mV 左右,在细胞质中维持在 -260 mV 至 -200 mV 左右)(R
  • 半胱氨酸:胱氨酸 (Cys:CySS) 比率(它的细胞内值为 -160 mV,而在血浆中,它在年轻、健康的个体中平均约为 -80 mV)

每对夫妇都有不同的氧化或还原水平。它更像是一个光谱。

氧化还原电位的解释如下:

氧化还原电位(电动势,E h)是化学物质接受或提供电子的趋势的量度。这种趋势以相对于标准氢电极反应 (H 2 /2H +  + 2e - ) 的毫伏为单位定量表示。 氧化/还原对(例如 GSH/GSSG)的 E h取决于化学物质接受/提供电子的内在趋势 (E o ) 以及相应受体和供体的浓度,由 Nernst 方程定义(例如,对于 GSH/GSSG 对,E h  = E o  + RT/N F  ln([GSSG]/[GSH] 2)。

复杂的解释,但基本上,当细胞被更多氧化时,它接受电子和防止氧化应激的能力要大得多。减少的状态则相反。稍后我将详细解释这个概念。

因此,当身体/细胞变得更加减少时,负值会变大,而当它变得更加氧化时,负值会变小。与 E h为 0mV 的电池相比,E h为 -150mV的电池显着减少。

这始终是两者之间的平衡。走到任何一边都是不好的。

例如,随着衰老、心血管疾病、糖尿病、吸烟等,细胞的 Cys:CySS 比率变得更加氧化。这是因为活性氧 (ROS) 的产生随着衰老而增加,这会氧化半胱氨酸以及其他氧化还原夫妇。稍后将详细了解 ROS 生产。

另一方面,更还原的状态会促进癌症的进展。即使补充能增加谷胱甘肽的NAC(N-乙酰半胱氨酸)也会促进癌症的扩散。

NADPH 用作许多酶促功能的辅助因子,在还原状态下增加。它以帮助合成谷胱甘肽而闻名,但它也用于合成雌二醇、DHT 和皮质醇,仅举几例。

此外,当 NADH:NAD 比率高时,如处于还原状态,活性氧物质的产生增加。在更氧化的状态下(高 NAD 到 NADH),能量产生增强并且解偶联率更高。解偶联已被证明可以延长寿命、保护神经、降低氧化应激、提高胰岛素敏感性、促进脂肪减少、产热等。

测量氧化还原状态

测量 NAD:NADH 比率是确定细胞健康最重要的因素,但它很难测量,而且每个人都不容易获得。所以这就是为什么我们会考虑其他指标,例如丙酮酸与乳酸和 β-羟基丁酸与乙酰乙酸 (βOHB/Acoc) 的比率,它们将分别反映细胞溶质和线粒体 NAD:NADH 的比率。

细胞中的乳酸和丙酮酸的比例约为 10,而 β-羟基丁酸与乙酰乙酸的比例约为 2 ( R )。

不同的氧化还原状态是什么样的

在喂食小鼠的肝细胞中暴露于更氧化的氧化还原状态有:

  • 增加细胞内过氧化氢而不引起氧化损伤。

更简化的状态:

  • 导致肝细胞 NADPH 增加和最大线粒体呼吸能力 ( R )。换句话说,更少的解耦。
  • 更少的解偶联,因为谷胱甘肽使解偶联蛋白失活,NADPH 和 GSH 在还原状态下升高。
  • 增强脂肪生成。是的,您可以在减少的状态下从碳水化合物中合成更多的脂肪。这就是为什么人们在结束低碳水化合物饮食后体重会增加很多的原因,因为低碳水化合物饮食会导致线粒体氧化还原状态降低(由 βOHB/Acoc 比率升高表示)。
  • 刺激糖异生和糖原合成。禁食还会产生更多的减少状态,从而刺激这些过程。因此,即使进食,您的糖异生也会升高,并且很可能会出现高血糖,如糖尿病患者 ( R )。

减少状态的问题

当半胱氨酸被自由基氧化时,在某些情况下会转化为胱氨酸。然后将胞外胱氨酸输入到细胞中,通过 Slc7a11 转化回半胱氨酸。

通过系统 Xc- 输入的细胞内胱氨酸是大多数癌细胞中半胱氨酸的主要来源 (R)。然后半胱氨酸被转化为谷胱甘肽或通过中性氨基酸转运蛋白输出。

作为 Xc- 系统的功能成分,它以 1:1 的比例导入细胞外胱氨酸,细胞内谷氨酸盐释放,Slc7a11 在调节许多病理生理过程中具有多种功能作用,如细胞氧化还原稳态、铁死亡和癌症耐药性。

Slc7a11的过表达不仅可以增加谷胱甘肽,还可以自行淬灭自由基,使细胞保持在还原状态。

组蛋白去乙酰化酶抑制剂 (HDACi),如丁酸盐、烟酰胺等,能够抑制 SLC7A11 ( R )。

萝卜硫素促进 Slc7a11 的活性,从而减少细胞外 Eh(Cys/CySS),这可能会促进某些癌症的生长 ( R )。

氧化还原随着老化而变化

老化促进氧化还原对的氧化。在人血浆中,衰老与中年后 GSH/GSSG 以及 Cys/CySS 氧化还原状态的氧化有关。在大鼠大脑中,中年后 NADPH 水平下降 ( R )。

该研究还发现,脑神经元 ( R ) 的细胞内游离 NADH 与年龄相关的减少。此外,将 Cys/CySS 比率固定在更小的状态,也会增加 NADH 水平。研究人员(错误地)推断“这种恢复到年轻水平的游离 NADH可以为更高的氧化磷酸化速率提供还原能量。” ( R )

为什么NADH低?NADH 是由什么产生的?

如果您猜对了 NAD,那么您是对的。NAD 水平随着年龄的增长而下降,因此可以合理地假设 NADH 也可能随着年龄的增长而下降。他们的目标是恢复神经能量水平,但他们通过创造一个减少的环境来做到这一点。创造氧化环境和/或提高 NAD 也可以增加总 NADH 水平。因为分解葡萄糖和脂肪以产生能量需要 NAD。是的,NADH 可以被 NAD 回收,但是通过直接提高 NADH,我们可以使电子传递链过载并产生和过量的 ROS,同时导致神经损伤。

NAD 和 NADPH 随年龄增长而下降的原因是,关键氧化还原依赖性生物合成酶 NAMPT(烟酰胺磷酸核糖基转移酶)和 NNT(烟酰胺核苷酸转氢酶)(R) 的基因表达会随着年龄的增长而下降。

NAMPT 是 NAD 合成的限速步骤,NNT(位于线粒体膜中)将氢化物从 NADH 转移到 NADP  + 与质子泵送穿过线粒体内膜。因此,葡萄糖和脂肪分解得越多(NADH 由 NAD 产生),电子传递链运行得越快,产生的 NADPH 就越多。

nnt-enzyme.jpg

然而,在氧化状态下,有更高水平的解偶联,这会降低 NADPH 的产生。但这完全没问题,因为解偶联可降低氧化应激并防止氧化应激。

简单地用烟酰胺增加神经元中的 NAD 可以恢复由衰老引起的 NADPH 和谷胱甘肽缺陷 ( R )。无需服用 NAC 或任何东西。

氧化/还原态和 ROS

让我们讨论大部分 ROS 的来源。

有ROS(活性氧)和RNS(活性氮)。

ROS包括超氧化物、过氧化氢和羟基自由基。

  • 超氧化物主要通过电子传递链和 NADPH 氧化酶 (NOX) 产生。
  • 大多数过氧化氢 (H2O2) 是通过超氧化物歧化酶由超氧化物产生的。
  • 当超氧化物或 H2O2 与铁或铜反应时,会产生羟基自由基。

RNS包括一氧化氮和过氧亚硝酸盐 (ONOO - )。

在还原状态下,会产生更多的 NADPH 和 GSH,从而抑制自由基并降低氧化应激。高度减少的状态并不意味着 ROS 的产生较少,它只是意味着 ROS 排毒高于 ROS 的产生。

各种细胞内信号通路和生理活动(如干细胞更新、免疫反应、胰岛素合成和血管张力)都需要一定量的 ROS。

然而,另一方面,过多的 ROS 是破坏性的,会导致细胞死亡。

NADPH氧化酶诱导ROS产生

NADPH 被 NADPH 氧化酶 (NOX) 用来产生 ROS。因此,在某些情况下,高度还原状态也会导致过度氧化应激。使用氧化剂,如β-拉帕酮,可显着降低 NADPH 并创造氧化环境,同时降低过量的 ROS。这种特性有助于保护器官(例如肾脏)免受过度氧化损伤。

多项研究表明,β-拉帕酮 (βL) 是一种氧化剂,可通过降低 NOX 的辅因子 NADPH 来预防肾功能障碍、胰腺炎 ( R )、缺血/再灌注 ( R ) 等。因此,与其增加谷胱甘肽以抑制 ROS,不如减少 ROS 的产生。

βL 处理显着降低了细胞 NAD(P)H:NAD(P)(+) 比率,并显着降低了 HS 饮食喂养的 DS 大鼠肾脏中的 NOX 活性。据此,βL 处理组的总 ROS 产生和氧化加合物的表达也降低。 > > 参考

电子传输链作为 ROS 的来源

ETC中有5个复合体。NADH 将其电子提供给复合物 I,而 FADH2 将其电子提供给复合物 II。复合物 I 和 II 将它们的电子传递给复合物 III,然后是细胞色素 C 氧化物和复合物 IV,在那里产生水。

ETC 产生电荷,然后将质子赶出线粒体。然后质子可以通过复合体 V(ATP 合酶)重新进入线粒体,然后在那里驱动 ATP 合成。

这些复合物由心磷脂稳定。当这些复合物受损且不稳定时,电子不会向前传递电子,而是会泄漏,与氧气反应并产生称为超氧化物的自由基。

electron-leak.jpg

还原态 ROS 产生的最重要来源是复合物 I。 在发生过量脂肪氧化的地方,大部分 CoQ 已经被 FADH2 还原,因此 NADH 的 CoQ 有限(主要来自葡萄糖氧化)将他们的电子捐赠给。高 CoQH:CoQ 和 NADH:NADH 比率会导致过量的 ROS 产生。

产生的 ROS 也会破坏其他复合物,导致更多的 ROS 产生。过多的 ROS 会损害线粒体,从而发出细胞破坏的信号。然而,过多的受损细胞会压倒身体分解所有细胞的能力(线粒体自噬)。在过量的 ROS 状态下,会出现过量的小而碎片化的 ROS 产生细胞,这些细胞正在造成严重破坏。

作为有缺陷的 ETC 的一种补偿机制,糖酵解(从 1 分子葡萄糖产生 4 个 ATP,而通过完全氧化磷酸化产生 30 个 ATP)变得显着上调。糖酵解运行越快,尤其是特定的葡萄糖-6-磷酸酶,通过戊糖磷酸途径 (PPP) 产生的 NADPH 就越多。

这就是癌症发生的情况。ETC 出现故障,ROS 产量猛增。但是癌细胞必须保护自己,因此它们会上调糖酵解和 PPP 以产生谷胱甘肽。因此,尽管 ROS 产量增加,但谷胱甘肽产量如此之高,以至于癌细胞处于减少状态。

NAD 水平上的 ROS

缺血性损伤(血流量显着减少)后,线粒体 NAD 水平耗尽,导致线粒体蛋白乙酰化增加(一种可逆地抑制酶功能的效应)、高 ROS 产生和过度的线粒体碎片化(过度裂变压倒线粒体自噬) .

在这项研究中,缺血性损伤后给予单剂量的 NMN(烟酰胺单核苷酸)可使海马线粒体 NAD 池、蛋白质乙酰化和 ROS 水平正常化。这些变化取决于使用 NAD 作为辅因子 ( R ) 的SIRT3 活性。此外,NMN 抑制了线粒体裂变蛋白 pDrp1(S616),从而防止了过量碎片化的线粒体形成。

氧化还原状态如何影响我们的激素和神经递质

多巴胺

降低状态的神经毒性

鱼藤酮抑制 ETC 的复合物 I,通过增加 NADH:NAD 和 CoQH:CoQ(泛醇:泛醌)比率,使线粒体处于更加还原的状态。这会导致 ROS 增加,从而可能具有神经毒性。

酪氨酸羟化酶(在大脑的黑质纹状体区域),即从酪氨酸(多巴胺合成中的限速步骤)产生左旋多巴的酶,通过鱼藤酮治疗显着降低 ( R )。这表明还原状态可能对多巴胺能神经元有害,而具有轻微解偶联的氧化状态将是有益的。

醌可增加 NAD:NADH 比率并降低 NADPH(和 NOX),具有高度的神经保护作用。

在减少状态下夸大多巴胺反应

多巴胺作用于多巴胺受体 D1 时,会刺激细胞内钙的释放。这是令人兴奋的。过量的细胞内钙会导致大脑过度兴奋。还原状态(低 NAD 到 NADH 或低丙酮酸到乳酸)增强细胞中多巴胺诱导的钙信号(R)。丙酮酸具有相反的作用,因为它创造了一个更加氧化的环境,降低了乳酸与丙酮酸的比例,增加了 NAD:NADH,刺激了葡萄糖氧化等。 ( R )

因此,如果您倾向于因多巴胺能药物而感到焦虑或过度刺激,那么您可能处于一种减少状态,并且可以从氧化剂中受益,例如亚甲蓝、丙酮酸、辅酶 Q10 等。

谷氨酸信号

谷氨酸是一种兴奋性氨基酸/神经递质,作用于许多谷氨酸受体;即离子型受体(NMDA、AMPA 和红藻氨酸)和代谢型谷氨酸受体(mGlu1-8)。

在正常情况下,谷氨酸会大量促进神经元生长甚至神经毒性。然而,在癌细胞中,谷氨酸盐用作用于促进恶性转化,肿瘤增殖,浸润和转移,以及通过作用于对癌症和非癌性细胞(的谷氨酸受体抑制免疫系统的重要致癌信号分子- [R )。

正常量的谷氨酸是必要的,但过量则非常糟糕。

谷氨酸受体信号

mGlu5 可增加 NMDA 受体活性和兴奋性毒性风险,在大脑中的星形胶质细胞中广泛表达。该受体是帕金森病 (PD) 药物治疗的靶标(用于拮抗)。PD 是一种复杂的慢性神经退行性疾病,主要涉及黑质致密部 (SNc) 中多巴胺能 (DAergic) 神经元的丧失、黑质纹状体束腐烂、症状性强直、运动迟缓和静止性震颤。

过量的 ROS 产生会氧化 CyS:CySS 比率,从而导致 mGlu5 的激活。

发现氧化的细胞外 Cys/CySS E(h) 激活 mGlu5 会影响 NF-κB 和诱导型一氧化氮合酶 (iNOS) 的表达。结果还表明,细胞外 Cys/CySS E(h) 参与 mGlu5 的激活控制细胞死亡和神经毒性中的细胞激活。 > > 参考

ROS 产生的主要来源来自线粒体,尤其是 ETC。ETC 络合物之一的缺陷会显着增加超氧化物的产生。超氧化物会迅速转化为过氧化氢 (H2O2),然后可以氧化血浆 Cys/CySS。

更具体地说,在使用鱼藤酮 ( R ) 的研究中,复合物 I 的缺陷通常是导致 ROS 产生过多的原因。正如我所提到的,有缺陷的复合物 I 活性会导致状态降低(高 NADH:NAD 和 CoQH:CoQ(泛醇:泛醌)比率),从而导致 ROS 产生过量。服用烟酰胺来提高 NAD 或服用 CoQ10 可以将平衡转变为氧化状态,具有高度的神经保护作用。

redox-cysteine-balance-with-age.jpg

让我们再谈谈谷氨酸信号。

NMDA 信号也受氧化还原状态控制。

在正常生理条件下,NMDA 受体活性会诱导一氧化氮的产生,这可以在负反馈回路中降低 NMDA 受体活性(通过 NMDA 受体亚基 NR1 和 NR2A 上半胱氨酸的 S-亚硝基化)。然而,随着氧化应激的增加,通过 NMDA 受体激活产生的一氧化氮可以诱导过氧亚硝酸盐的形成。这种升高的 RNS 产生导致 NMDA 受体的过度激活和神经毒性 ( R )。

NMDA 受体是治疗抑郁症、焦虑症、精神分裂症、恐惧症、偏执狂、物质诱发的精神病、物质滥用、肥胖症、亨廷顿病、阿尔茨海默病和神经精神系统性红斑狼疮等精神疾病的主要靶点。

还原剂,如 NADH 或泛醇可以增强 NMDA 受体的激活,从而导致兴奋性毒性、更多的 ROS 产生、氧化应激、神经炎症等 ( R )。

另一方面,氧化剂,如 NAD、亚甲蓝、泛醌 (CoQ10)、PQQ、GSSG、二氢硫辛酸或任何将平衡转向氧化的物质,可以减少 NMDA 受体 ( R ) 的过度激活。

关于 PQQ 和 NMDA 受体 相互作用的简短介绍

PQQ 被证明具有很强的神经保护作用,不仅可以防止兴奋性毒性损伤,而且还可以在  中风和癫痫的_体内_模型中使用 ( R )。

似乎 PQQ 的整个神经保护作用都归因于 NMDA 受体氧化还原位点的直接氧化。本研究中讨论的结果表明,大脑中的 PQQ、其他醌类和氧化还原调节剂可能代表一种改善 NMDA 受体介导的神经毒性损伤的新治疗方法 ( R )。

NMDA、氧化还原和添加剂行为

谷氨酸能系统的过度激活已被证明在药物滥用和肥胖症中起重要作用。特别是,先前已经表明,用 N-甲基-D-天冬氨酸受体 (NMDAR) 拮抗剂治疗可以减弱药物提示关联,并减少提示诱导的药物寻求和复发样行为 ( R )。

因此,使用氧化剂来增加 NAD 应该有助于防止药物滥用,对吗?

NAD 在成瘾性疾病中的重要性源于 Paul O' Hollaren 博士 (1961) 的工作,他声称已成功利用 IV NAD+ 预防和治疗超过 104 例酒精和其他滥用药物(包括海洛因)成瘾、鸦片提取物、吗啡、二氢吗啡、度冷丁、可待因、可卡因、安非他明、巴比妥酸盐和镇静剂 ( R )。在他的回顾性病例系列中,静脉注射 NAD+ 的剂量为 500-1000 mg,每天加入 300 cc 生理盐水,持续 4 天,每周两次,持续一个月,然后每月两次维持剂量,直到成瘾得到改善,毒性作用有限。

最后,升高的乳酸表明还原状态(低丙酮酸与乳酸的比率反映低 NAD 与 NADH 的比率)也会激活 NMDA 受体,而丙酮酸具有相反的作用。

谷氨酸摄取

从突触摄取谷氨酸是能量密集型的。低能量和还原状态会导致过多的谷氨酸在突触中积累。

烟酰胺,通过增加 NAD 和增加 NAD:NADH 比率能够防止谷氨酸兴奋性毒性 ( R )。

谷氨酸的摄取需要 ATP,当星形胶质细胞的葡萄糖摄取和氧化受损时,星形胶质细胞缺乏足够的能量从突触中清除谷氨酸。这导致兴奋性神经毒性,部分定义为 ROS 增加和线粒体功能障碍,以及神经元死亡。

这是低能量状态如何导致慢性兴奋的一个例子。如果您想要一个可以根据需要执行所需任务的放松大脑,那么您需要一个充满活力的大脑。可能看起来很矛盾,但事实并非如此。

腺苷

外源性 NAD 治疗已被证明会增加腺苷水平,这可能会激活腺苷受体 ( R )。处于还原状态的兴奋大脑无法关闭,让您产生侵入性、强迫性、持续性思维过度兴奋、焦虑、失眠等。

血清素

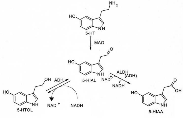
NAD 是血清素正常解毒所必需的。分解血清素的主要酶称为单胺氧化酶-A (MAO-A)。MAO-A 使用维生素 B2 和铜作为辅助因子,将血清素转化为 5-羟基吲哚-3-乙醛 (5-HIAL)。5-HIAL 然后可以被醛脱氢酶(使用 NAD)或醛还原酶(使用 NADH)分解,分别形成 5-羟基吲哚-3-乙酸 (5-HIAA) 和 5-羟基色氨酸 (5-HTOL)。

serotonin-redox.jpg

酗酒者的尿 5-HTOL/5-HIAA 比率升高,这表明 NAD 低,因为酒精会降低 NAD 和 NAD:NADH 比率。这个比率是(最近)饮酒的一个很好的指标,这些人有更高的死亡率和肺炎和败血症的风险(R)。

增加 NAD:NADH 比率可改善肠道功能并降低血清素含量 ( R )。过量的血清素会导致肠道炎症、IBD、慢性病、自身免疫性疾病等。

皮质醇

皮质醇是一种活性激素,由可的松通过酶 11β 羟基类固醇脱氢酶 (11β-HSD1) 使用 NADPH 产生。将皮质醇转化回可的松的 11β-HSD2 需要 NAD。

有趣的是,由于 11β-HSD 的前受体代谢,细胞内的糖皮质激素(可的松和皮质醇)水平不一定反映血液水平(R)。 

因此,高度还原的状态将具有升高的细胞内皮质醇:可的松比率(更多分解代谢状态),而氧化状态将具有更高的可的松:皮质醇比率。

由 11β-HSD1 过度表达驱动的过量皮质醇在糖尿病、肥胖、高血压、动脉粥样硬化等中过度表达。

表没食子儿茶素没食子酸酯(EGCG;绿茶中的一种成分)通过将氧化还原转变为更氧化的状态来准确降低皮质醇。它降低了 NADPH:NADP 比率,从而降低了皮质醇与可的松比率 ( R )。

此外,在氧化条件下,皮质醇受体的活性会因受体进入细胞核的转运减少和 DNA 结合的调节而降低 ( R )。

NADPH 升高的更还原状态会导致 ROS 产生 (NOX)、皮质醇合成增加,甚至由于受体向细胞核的转运增加,皮质醇的作用增强。

雌激素

将睾酮转化为雌二醇,将雄烯二酮转化为雌酮的芳香酶使用 NADPH 作为辅助因子。

aromatase-redox.jpg

此外,NAD/NADH 比值的下降增强了雌二醇向雌酮的转化,导致更高的雌酮与雌二醇比。仅仅因为您的雌二醇低并不意味着您的雌激素低。首先检查您的雌酮和/或雌酮硫酸盐水平。

睾酮

睾酮的产生也是一个能源密集型过程,需要适当的葡萄糖氧化和 NAD 水平。由于压力减少和 NAD 低,减少的状态会导致睾丸激素的产生降低。

DHT

5-α 还原酶 (5AR),即从睾酮合成 DHT 的酶,使皮质醇失活为 5α-二氢皮质醇,将孕酮转化为 5α-二氢黄体酮作为其他转化,使用 NADPH 作为辅助因子。

但仅仅因为你有高 NADPH 就意味着你会有高 DHT。由于 DHT 可以通过 3α 羟基类固醇脱氢酶 (3α-HSD) 使用 NADPH 作为辅因子转化为 3α-二醇。在另一方面,3 α -HSD可以使用NAD转换3 α -二醇回DHT。

DHT 也可以使用 NADH 作为辅因子通过 3β-HSD 转化为 3β-二醇。

甲状腺

DUOX2(双氧化酶 2)在甲状腺中产生 H2O2,这是甲状腺激素合成所必需的,但在大量时,它具有致突变性和致癌性 (R)。雌激素增加 DUOX2(直接或通过增加 NADPH),从而过度产生 H2O2 并导致甲状腺癌。

如何创造更氧化的氧化还原状态

#1 修复电子传输链

ETC 是将 NADH 和 FADH2 转换回 NAD 和 FAD 的地方。每个复合物(尤其是复合物 I)的良好功能有助于增加 NAD。

低 CoQ 产生(由于他汀类药物、甲状腺功能减退、多不饱和脂肪酸摄入量、前体缺乏等)和红肉摄入量低,会造成更低的状态并降低复合 I 功能。

维生素 K2 (MK-4)、维生素 C 和亚甲蓝摄入可以挽救有缺陷的复合物 I、II 和 III 功能并增加 NAD:NADH 比率。

#2 增加 NAD 合成

NAD 是由色氨酸合成的,但在此过程中可能会遇到多个问题。我也不建议服用色氨酸,因为它会导致血清素过多,这是非常有害的。色氨酸还可以促进过量的喹啉酸产生,喹啉酸是一种 NMDA 受体激动剂,可以促进兴奋性神经损伤。

将喹啉酸转化为 NAD 需要镁,因此请确保每天摄入足够的镁。

NAD 也可以通过“补救途径”从烟酸、烟酰胺、NMN 和 NR 中产生。这是一种比服用色氨酸更好的促进 NAD 的方法。像每天 100 毫克烟酰胺 x3 这样简单的东西可以极大地帮助增加 NAD。

#3 抑制 NAD 分解代谢

NAD 被三种消耗 NAD 的酶利用:CD38 NADase/环状 ADP-核糖合酶、聚(ADP-核糖)聚合酶 (PARP) 和 Sirtuins (SIRT)。

CD38 抑制剂包括槲皮素和芹菜素。苹果、黑醋栗和番石榴汁是槲皮素和芹菜素的良好来源。

PARP 抑制剂包括肌苷、槲皮素、芦丁、柚皮素、橙皮苷和烟酰胺(R , R , R)。所以基本上是橙汁和苹果汁以及一点烟酰胺和肌苷补充剂。

#4 将 NADH 回收回 NAD

将 NADH 再循环回 NAD 的最佳方法之一是用醌激活 NAD(P)H:醌受体氧化还原酶 (NQO),特别是 NQO1。

redox-cycling.jpg

NQO1 将醌和 NADPH 转化为对苯二酚和 NADP+,并将 NADH 转化为 NAD。

不同的醌对 NQO1 具有不同的亲和力,因此有些在通过 NQO1 的某些剂量下会更好地增加 NAD 水平。这意味着维生素 K2 可能通过支持 ETC 而不是激活 NQO1 来更好地增加 NAD,而 β-拉帕酮可能正好相反。

NQO1 的其他功能包括:

  • 参与星形胶质细胞的解毒和细胞保护机制。
  • 生成泛醌、维生素 E 和超氧化物还原酶 ( R ) 的抗氧化形式。

正常组织含有低 NQO1,因此正常细胞中的 ROS 产量较低,但癌细胞/肿瘤细胞中的 ROS 产量较高,这使得 ROS 通过 NQO1 产生以破坏癌细胞。

醌能够增加 NAD:NADH 比率,降低乳酸,支持 ETC,减少脑水肿,降低 BBB 通透性以及硝酸盐/亚硝酸盐、IL-6、IL-1β 和 TNF-α 等水平升高(R)。

β-拉帕酮

β-拉帕酮 (βL) 通过增加 NAD 水平和 NAD:NADH 比率 ( R ) 来预防与衰老相关的脑功能障碍。正如本文上面已经提到的,βL 降低 NADPH,从而降低 NOX 活性和氧化应激,因此具有高度保护作用。

大黄素

大黄素是一种在 cascara sagrada、芦荟、大黄等中发现的醌,具有神经保护作用 ( R )。大黄素也是 11β-HSD1 ( R )的强抑制剂。

维生素 K2 (MK4)

维生素 K2 (MK-4) 具有神经保护作用,不会增加 GSH ( R ),多发性硬化症患者的维生素 K2 水平 ( R )显着降低。

QQ

吡咯并喹啉醌 (PQQ) 也具有高度的神经保护作用,我已经在上面的谷氨酸部分介绍了一点。

与 PQQ 相比,抗氧化维生素、抗坏血酸和 α-生育酚没有神经保护作用 ( R )。

聚集的 β-淀粉样蛋白 (Aβ) 的神经毒性被认为是阿尔茨海默病 (AD) 发病机制的关键因素。它可以通过诱导级联氧化导致 AD 中的神经毒性。据报道,PQQ 预处理可以保护人神经母细胞瘤 SH-SY5Y 细胞免受 Aβ 诱导的神经毒性(Zhang et al.,  2009)。一项研究表明,PQQ 可以通过阻止 α-突触核蛋白淀粉样蛋白原纤维的形成(Kobayashi 等人,  2006 年)为帕金森病提供一种有效的治疗方法(PD;Zhang 等人,  2009)。Zhang 及其同事还研究了 PQQ 是否可能是中风治疗中有益的神经保护剂(Zhang 等,  2006)。据报道,PQQ 可能会抑制 N-甲基-D-天冬氨酸 (NMDA) 诱导的电反应并防止 NMDA 介导的神经毒性损伤(Aizenman 等,  1992 年;Alexandrova 和 Bochev,  2005 年)。 > > 参考

PQQ 的另一个有益作用是通过上调半乳糖苷酶 β-1 (Gal β-1) 的表达,4-半乳糖基转移酶 N-酰基鞘氨醇 (4-GlcNAc) 组可能在 TBI 后的恢复中起重要作用 ( R )。

百里醌

百里醌是黑孜然 (Nigella sativa) 种子的一种成分,能够通过 Nrf2/ARE 信号传导增加 NQO1 的表达,从而发挥神经保护作用 ( R )。

研究表明,百里醌还可以抑制许多炎症介质,例如一氧化氮 (NO)、PGE2、TNF-α 和 IL-1β,并防止内毒素诱导的神经炎症。

亚甲蓝

尽管亚甲蓝不是醌,但它是一种很好的电子受体,可以非常有效地支持 ETC。亚甲蓝通过产生更多的氧化状态以及增加 ATP 水平,对过量谷氨酸具有神经保护作用。亚甲蓝还抑制 NO 和 ROS 的形成并防止缺氧。

#5 去除代谢刹车

导致氧化应激和 DNA 损伤并抑制 ETC 的事物会消耗 NAD。

一些充当代谢刹车的东西是:

  • 通常由肠道问题(SIBO、内毒素、致病性肠道细菌副产物等)引起的过量 NO 产生会抑制能量产生。
  • 内毒素,由过量的革兰氏阴性肠道细菌引起。拟杆菌是肠道中最大的革兰氏阴性菌群,如果过量,很容易引起问题。
  • 压力。无论是精神上还是身体上。如果您无法摆脱压力,食用阿司匹林和碳水化合物可以帮助您更好地应对压力。
  • 高胰岛素血症和血管紧张素会增加乳酸:丙酮酸的比例(表明处于降低状态)并协同产生超氧化物 ( R )。
  • 过量的重金属,如铁、铜、铅、镉、汞等。
  • 由于维生素 D 和/或钙摄入量低导致 PTH 升高。
  • EMF 暴露,尤其是当您对它敏感时。如果您想了解如何防止 EMF 的有害影响,请查看这篇文章
  • 口呼吸
  • 睡眠不足

#6 多吃碳水化合物,加速新陈代谢并诱导解偶联

有一个(错误的)观念,即快速的新陈代谢会加速衰老,这就是为什么我们要通过低碳水化合物饮食、禁食、冷疗、热量不足等来减缓新陈代谢。

原因是您的新陈代谢在产生能量时会产生 ROS。所以更快的新陈代谢意味着更多的 ROS 产生和更快的衰老。然而,这种情况并非如此。

……氧消耗率较高的个体实际上可能具有较低水平的 H 2 O 2,这很可能是由于解偶联升高所致。 > > (参考感谢 Amazoniac 的这项研究

升高的解偶联可加快代谢率、提高胰岛素敏感性、增加 NAD:NADH 比率、增加 CO2 产生、降低超氧化物和炎症并防止氧化应激。它还可以提高体温,从而帮助细胞更好地工作,更有效地产生能量。

此外,该研究发现,长期运动训练、甲状腺功能亢进症和饮食限制 ( R ) 会导致绝对和相对(每单位 O2 消耗)线粒体氧自由基的产生显着降低。因此,即使在甲亢状态下,ROS 也会减少,因为甲状腺激素也会促进解偶联。

为了让线粒体将氧还原为超氧化物,线粒体呼吸链必须处于高度还原状态 ( R )。意思是,还原状态导致高超氧化物产生。更高的解偶联会导致更低的膜电位和更高的呼吸链中的电子和氧气流量(因此使其更加氧化)。

因此,如果氧化损伤是导致衰老的重要因素,那么那些代谢率高(和解偶联程度更高)的人可能会受益于更慢的衰老 ( R )。

代谢强度处于较高四分位数的小鼠的静息耗氧量比处于最低强度四分位数的小鼠高 17%,寿命长 36%。从上四分位数的小鼠骨骼肌中分离的线粒体比来自最低四分位数的小鼠的线粒体具有更高的质子电导。较高的电导是由较高水平的质子通过腺嘌呤核苷酸移位酶和解偶联蛋白 3 泄漏的内源性激活剂引起的。因此,新陈代谢高的个体更容易分离,有更多的休息和每日总能量消耗,并且存活时间最长。 > > 参考

我提到吃碳水化合物的原因是好的,因为碳水化合物让你处于比脂肪更氧化的环境中。

吃更多的碳水化合物可能还不够

如前所述,在减少的状态下,会产生更多的乳酸,更多比例的碳水化合物可以转化为脂肪,由于过度活跃的糖异生,您甚至会出现高血糖症。另外,你可能会通过 ETC 的复合物 I 产生更多的 ROS,因为在低碳水化合物饮食后它会大大减少。

所以当你再次开始吃碳水化合物时,你要确保你的身体正确使用它。

如果您想了解有关如何最大限度地提高葡萄糖氧化的更多信息,请查看这篇文章。另外,请查看有关阻止脂肪酸氧化的涂料的这篇文章。

一些可以改善葡萄糖氧化、增加 NAD:NADH 比率并具有神经保护作用的化合物包括:

  • 丙酮酸 ( R )。丙酮酸(和丙酮酸乙酯)具有神经保护作用。淬灭自由基,降低乳酸,刺激丙酮酸脱氢酶 (PDH),增加 ATP 和 NAD:NADH 比率,并减少细胞内钙 ( R )。根据这项研究,在受伤后 24 小时,与生理盐水处理的对照组相比,丙酮酸钠 (SP) 显着改善了 13 个大脑区域中的 3 个区域的葡萄糖代谢,而丙酮酸乙酯 (EP) 改善了 7 个区域的代谢 ( R )。因此,早期给予丙酮酸化合物可增强脑葡萄糖代谢和神经元存活率,40mg/kg 的 EP 与 1000mg/kg 的 SP 一样有效 ( R )。Idealabs 的Pyrucet是我获得丙酮酸乙酯的地方。
  • 维生素 B1 ( R )
  • 亚甲蓝
  • 辅酶Q10
  • 烟酰胺 ( R )。将烟酰胺与黄体酮结合使用比单独使用任何一种都更有益 ( R )。

概括

现在你知道真正的新陈代谢应该是什么样子,为什么有些人在高碳水化合物饮食上做得很好,而有些人却没有,为什么有些人对补充剂/益智药的反应比其他人更好等等。

这是我目前每天使用的 NAD 提升堆栈:

  • 早上500mg烟酰胺(用于NAD合成)
  • 每天 3 次舌下含服3 滴Lapodin(含 β-lapachone 和大黄素)(针对 NQO1,以从 NADH 提高 NAD)
  • 1mg 亚甲蓝(氧化)(将 NADH 回收回 NAD 的电子受体)

请记住,我已经按照我在Alpha 能量营养课程中概述的指南优化了我的葡萄糖氧化并消除了任何肠道刺激。

讨论列表 查看原帖及回帖